understand quran quran

Free Onlne graphing calculator on complex analysis or complex functions or complex equation or complex inequality


User Manual for graphing

This is an online educational tools of Complex Graphing calculator to create graph of mathematical complex numbers or functions of 2D in this section.There are three portions in this section. For First portion, you can select any of RealNum, Mod,Arg,Re, Im which are real number, modulus, argument, real part, imaginary part of complex number of 1st input box. then select any one of +, -, < and then you can done similarly for Second and Third portions. then the graph will drawn automatically. It takes sometimes to draw graph of this function and be patience to calculate huge points to draw the graph. For zoom this graph, you can change the x-scale and y-scale. It can draw any complex number or function of equation or inequality.It has some limitations such as you can type with z, z^2, z^3, 1/z, conjz and any complex number e.g. 5+3i.Here conjz means conjugate number of z.Thank you for viewing this article.

1. The vedio Tutorial link: Youtube vedio tutorial for complex number or functions or equation or inequality
2. Drawing the complex number or function or inequality or equation of graph, it will take some times. May be 2 sec to 1 min. Hence, be pateince.
3. May some approxiamation error has been occur, sorry for that
How to get update website

To get update website, you can clear your browser chache data (if you browse this website before many days) or browse this website with another website browser. Steps for clear chache: 1. on your computer, open browser. 2. At the top right, click More. 3. Click More tools. Clear browsing data. 4. choose a time range. 4. "Cached images and files," check the boxe. 5. Click Clear data. Different browser may have different ways.



Definition of Imaginary Number, Complex Number, Conjugate Complex Number, Modulas, Argument, Real part, Imaginary part

Imaginary Number : The square root of a negative real number is called Imaginary Number. The Unit of imaginary number is denoted by i=√(-1). As for example, √(-9)=3i.

Complex Number : The Complex Number is defined by a+ib where a and b are real numbers and i=√(-1). As for example, 3+5i is a Complex Number.

Conjugate Complex Number : If z=x+iy be a Complex Number, then z=x-iy is called the Conjugate Complex Number of complex number z. It is denoted by z=x-iy. As for example, If z=5+4i, then z=5-4i and If z=-3-6i, then z=-3+6i.

Modulas : If z=x+iy be a Complex Number and x=rcosθ, y=rsinθ, then r=|z|=√(x2+y2) is called the modulas of z. As for example, If z=3+4i, then Modulas |z|=√(32+42)=5.

Argument : If z=x+iy be a Complex Number and x=rcosθ, y=rsinθ, then θ=tan-1(y/x) is called the Argument of z. As for example, If z=1+i, then Argument θ=tan-1(1/1)=450.

Real part : If z=x+iy be a Complex Number, then x is called the Real part of complex number z. It is denoted by Re(z)=x. As for example, If z=7+4i, then Re(z)=7.

Imaginary part : If z=x+iy be a Complex Number, then x is called the Imaginary part of complex number z. It is denoted by Im(z)=y. As for example, If z=7+4i, then Im(z)=4.

Argand plane : The set C of complex numbers is naturally identified with the plane R2. This plane is called the Argand plane. A complex number z = x+i y, its real and imaginary parts x and y define an element (x, y) of R2.

Reciprocal of a Complex Number : The reciprocal of a complex number is a complex number which is calculating 1 divided by that complex number. For example, the reciprocal of a complex number 1+i is 1/(1+i)=(1-i)/{(1+i)(1-i)}=(1-i)/(1-i2)=(1-i)/{(1-(-1)}=(1-i)/2=1/2-i/2

Graph of Complex function or complex equation

The equation of ellipse of complex number system is |z-z1|+|z-z2|=constant. As for example, |z+3+8i|+|z-3-8i|=18 is an equation of ellipse of complex number. For learn about simple function of Mathematics and graphing, visit: Graphing simple function of Mathematics

graph of complex ellipse function or graphing calculator complex ellipse equation

The equation of Hyperbola of complex number system is |z-z1|-|z-z2|=constant. As for example, |z+5i|-|z-5i|=12 is an equation of hyperbola of complex number. For learn about piecewise function and graphing, visit: Graphing piecewise function of Mathematics

complex analysis hyperbola equation or graph of complex hyperbola function

Another equation of Hyperbola of complex number system are Re(z2)=constant and Im(z2)=constant . As for example, Im(z2)=15 is an equation of hyperbola of complex number. For learn about implicit function and graphing, visit: Graphing Implicit function of Mathematics


equation of hyperbola in complex form

The equation of Circle of complex number system is |z-z1|=constant. As for example, |z-5-2i|=6 is an equation of circle of complex number. For learn about linear programmming of Mathematics and graphing, visit: Graphing linear programmming of Mathematics


complex numbers circle equation calculator or graph of complex circle function

The inequality of ring shape region of complex variable 3<=|z+3i|<=5 is given bellow and.
Youtube vedio tutorial for complex analysis. For learn about inequality of Mathematics and graphing, visit: Graphing Inequality of Mathematics
graph of complex inequality of ring shapes


The inequality of outer region of hyperbola of complex variable Re(z2)>2 is given bellow-
graph of complex inequality of hyperbola or graph of complex inequality hyperbola outside,rectangular hyperbola complex inequalities
For learn about polar function of Mathematics and graphing, visit: Graphing Polar function of Mathematics


The inequality of outer region of hyperbola of complex variable Im(z2)>2 is given bellow-
graph of complex inequality of hyperbola or complex analysis hyperbola inequality graph
For learn about parametric function of Mathematics and graphing, visit: Graphing Parametric function of Mathematics


Definition of Comlex analysis

The Complex analysis is the study of analysis of Complex Numbers together with their graphs, derivatives,integrations, manipulation and other mathematical properties. Complex analysis is also known as one of the classical branch of mathematics and analysis. The Complex Numbers with their functions and their graphs, limits, derivatives, integrations, manipulation and other mathematical properties. The

The Complex analysis is a mathematical topic of practical applications to solve physical problems. The real life applications of complex analysis are Signal processing, AC circuit analysis,

The Quantum mechanics,

The Electronics,

The Electromagnetism,used in

The computer science engineering,used in mechanical and

The civil engineering, used in

The control systems, etc.


Euler's formula or Euler's theorem of Complex analysis:

If i is the unit of imaginary number and where e is the base of the natural logarithm, Then the Euler's formula or Euler's theorem of Complex analysis is defined by e=cosθ+isinθ where θ is a angle. The Euler's formula or Euler's theorem , named from Swiss Mathematician Leonhard Euler. The Euler's formula or Euler's theorem of Complex analysis establishes the fundamental relationship between the complex exponential function and the trigonometric functions i.e. eix;=cosx+isinx where e is the base of the natural logarithm and i is the unit of imaginary number.

graph of euler theorem

De Moiver’s Theorem of Complex analysis:


If i is the unit of imaginary number, Then the De Moiver’s Theorem of Comlex analysis is defined by (cosx+isinx)n=cosnx+isinnx where x is a angle and n is any integer. The theorem , named from The Mathematician Abraham de Moivre.

The relation between Euler's formula and De Moiver’s Theorem of Complex analysis is De Moivre's formula is a precursor to Euler's formula. Anyone can derive de Moivre's formula by applying the Euler's formula and the exponential law of integer i.e. (eix)n=einx=cosnx+isinnx .



Parametric equation of conic on complex plane of Mathematics

Parametric equation of a circle of complex number on complex plane is z(t)=rcost+irsint=reit where 0≤t≤2π and r is the radius of the circle. As for example,z(t)=10cost+10isint=10eit where 0≤t≤2π is a circle of radius 10 units and the center is origin. The general equation of a circle is x2+y2+2gx+2fy+c=0 where the center is (-g, -f), so the parametric general equation of the circle on complex plane will be z(t)=(-g+rcost)+i(-f+rsint).

graph of parametric equation of circle

The general equation of an ellipse is x2/a2+y2/b2=1 where the center is (0, 0), so the parametric equation of the ellipse on complex plane will be z(t)=(acost)+i(bsint) where 0≤t≤2π.


The general equation of a hyperbola is x2/a2-y2/b2=1 where the center is (0, 0), so the parametric equation of the hyperbola on complex plane will be z(t)=(asect)+i(btant) where 0≤t≤2π.


The general equation of a parabola is y2=4ax, so the parametric equation of the parabola on complex plane will be z(t)=(at2)+i(2at) where 0≤t≤2π.


N.B: If you want to drawing graph of parametric equation on complex plane, you will use graphing parametric calculator on complex plane.


Asymptote of complex analysis

A complex equation has an asymptote if the distance between a straight line and the curve of complex equation tends to zero when the points on the curve approach to infinity, then the straight line is called asymptote. As for example the equation of complex variable Re(z2)=15 ⇒ Re(x2-y2+2xyi)=15 ⇒ x2-y2=15. Now we can find the equation of asymptote, by seting x2-y2=0 ⇒(x+y)(x-y)=0 ⇒x+y=0 or x-y=0 ⇒y=-x, y=x . The graph of the equation of complex variable Re(x2-y2+2xyi)=15 and its asymptotes y=x, y=-x are given bellows-

graph of asymptote of complex number

Single valued function and Many valued functions or Multiple valued function

Single valued function: A complex function w is said to be a single valued function of z if it takes only one value for each value of z. As for example, w=f(z)=z2 is a single valued functtion. Suppose f(1+i)= (1+i)2=1+2i+i2=1+2i-1=2i which is single value.


Many valued function or Multiple valued function: A complex function w is said to be a Many valued function or Multiple valued function of z if it takes more than one value for each value of z.As for example, w=f(z)=z1/3 is a Many valued functtion or multiple valued function. Suppose f(1)= (1)1/3 which has three values 1, ω and ω2.


Limit of a complex function

A function w=f(z) is said to be limit l as z tends to z0 along any path in a defined region and we write limz→z0f(z)=l if for any positive number ε (however small) there exists a positive number δ (depending on ε) such that |f(z)-l|<ε whenever 0<|z-z0|<δ i.e. ∃ a deleted neighbourhood of the point z=z0 in which |f(z)-l|<ε can be made as small as we please.


Continuity of a complex function

A complex function w=f(z) is said to be continuous at a point z0 if (i) f(z0) is defined (ii) limz→z0f(z) exists (iii) limz→z0f(z)=f(z0).
Another Defination: A complex function w=f(z) is said to be continuous at a point z0 if for given ε>0, there exists a number δ>0 (depending on ε and z0) such that |f(z)-f(z0)|< ε whenever |z-z0|< δ.


Continuous complex function, Discontinuous complex function, Removable discontinuity of a complex function and Uniform continuity of a complex function.

Continuous complex function: A complex function w=f(z) defined in a certain domain D is said to be a continuous function on D , if it is continuous at each point of its domain D.


Discontinuous complex function: If a complex function w=f(z) is not continuous at a point z0 in its domain in the z plane, then w=f(z) is said to be discontinuous at z0 and z0 is called a point of discontinuity of f(z).

Removable discontinuity of a complex function: If limz→z0f(z)≠f(z0),then f(z) is said to have a removable or removal discontinuity at z=z0 because f(z) can be made continuous by redefining f(z0) so that limz→z0f(z)=f(z0).

Uniform continuity of a complex function: A complex function w=f(z) is said to be uniformly continuous in a region R if for given ε>0, it is possible to find a number δ>0 (depending on ε only) such that |f(z1)-f(z2)|<ε holds for every pair of points z1 ,z2 of the region R for which |z1-z2|<δ.


Differentiability of a complex function

Let w=f(z) be a complex function defined at all points in same neighbourhood of a point z0. The derivative or differential coefficient of f(z) at z0 is written as f'(z) and is defined by f(z0)=limz→z0 {f(z)-f(z0}/(z-z0) provided that the limit exists. f(z) is said to be differentiable at z0 when its derivative at z0 exists. The process of evaluating f'(z0) is called differentiation or derivation.


δ-ε definition: A function f(z) is said to be differentiable at z0 if for any ε>0, there exists a δ>0 such that |{f(z)-f(z0)}(z-z0)-f'(z0)|<ε whenever 0<|z-z0|<δ.


Analytic function in complex analysis or Holomorphic function in complex analysis

A complex function w=f(z) is said to be analytic or holomorphic at a point z0 if there exists a neighbourhood |z-z0|<δ at all points of which f'(z) exists.


Analytic in a region or Domain: A complex function w=f(z) is said to be analytic in a region R if the derivative f'(z) exists at all points of z of R and is reffered to as an analytic function in R or a function in R.


Singular points in complex analysis or Singularity in complex analysis and Zeros of a Complex Function

If a function f(z) fails to be analytic at a point z0 but is analytic at some points in every neighbourhood of z0, then z0 is called a singular point or singularity of z. As for example, f(z)=1/z, then f(z) is analytic except at z=0 . So z=0 is a singular point of f(z)=1/z.


Zeros of a Complex Function: A zero of an analytic function f(z) is a value of z for which f(z) vanishes i.e. f(z)=0. Othewise There exist z = z0 in the domain of f(z) such that f(z0) = 0, then z0 is called zero of f(z). As for example, f(z)=zcos(z) has a zero at z=0 of f(z) since f(0)=0.
a function f(z) which is analytic in a domain D, has a zero of order n at point z = z0 in D if and only if f(n)(z0) = 0. As for example, f(z)=zsin(z) has a zero at z=0 of order 2 since f'(z)=zcos(z)+sin(z) which is equal to 0 at z=0 and
f''(z)=-zsin(z)+cos(z)+cos(z) which is equal to 2 at z=0


Harmonic function in complex analysis and Harmonic conjugate function in complex analysis

Harmonic function: Any real valued function H of two variables of x and y having continuous partial derivatives of first and second order in a region R and also satisfying Laplace's equation δ2H/δx2+δ2H/δy2=0 i.e. Δ2H=0 is called a harmonic function.
As for example, u=x3-3xy2 so δu/δx=3x2-3y2 and δu/δy=-6xy
that implies δ2H/δx2=6x and δ2H/δy2=-6x
Hence δ2H/δx2+δ2H/δy2=6x-6x=0 which shows that u satisfies the Laplace's equation . Hence u is a harmonic function.


Harmonic conjugate function: If f(z)=u(x,y)+iv(x,y) is a an analytic function, then v(x,y) is called the harmonic conjugate function of u(x,y).


Branch of multiple valued function and Branch point in complex analysis

Branch of multiple valued function: A multiple valued function can be considered as a collection of single valued function, each numbers of which is called a branch of the function. Each of the branches of a multiple valued function is a single valued function and is analytic.


Branch point in complex analysis: A point z=z0 is called a branch point of the multiple valued function f(z) if the branches of f(z) are interchanged when z describes a closed path about z0. otherwise, A branch point of an analytic function is a point in the complex plane whose complex argument can be mapped from a single point in the domain to multiple points in the range. As for example, f(z)=(z-5)1/2 has a branch point at z=5.


Cauchy riemann partial differential equations in cartesian form and Cauchy riemann partial differential equations in polar form

Cauchy riemann partial differential equations in Cartesian form : If f(z)=u(x,y)+iv(x,y) is an analytic function, then the cauchy riemann partial differential equations in Cartesian form are δu/δx=δv/δy and δu/δy=-δv/δx i.e. ux=vy and uy=-vy.


Cauchy riemann partial differential equations in polar form : If f(z)=u(x,y)+iv(x,y) is an analytic function, then the cauchy riemann partial differential equations polar form are δu/δr=(1/r)δv/δθ and δv/δr=(-1/r)δu/δθ i.e. ur=(1/r)vθ and vr=(-1/r)uθ.


Theorem: ML Inequality of complex integral

Let f(z) is integrable along the curve C having finite length L and if there exists a positive number M such that |f(z)|≤M on the curve C, then |∫C f(z)dz|≤ |∫C f(z)||dz| and |∫C f(z)dz|≤ML.


Connected Regions:

A regions R is said to be conected regions if any two points of the region can be connected by a curve which lies entirely within the regions.

Simple Connected Regions:

A regions R is said to be simple-conected regions if any simple closed curve which lies in R can be shrunk to a point without leaving R.

Multiply Connected Regions:

A regions R is said to be multiply conected regions if any simple closed curve which lies in R can not possibly be shrunk to a point without leaving R.

Cauchy-Goursat Theorem in complex analysis:

In 1900 the French mathematician Edouard Goursat proved that the assumption of continuity is not necessary to reach the conclusion of Cauchy's theorem. The resulting modified version of Cauchy's theorem is known today as the Cauchy-Goursat Theorem. Cauchy's fundamental theorem was first provided by use of Green's theorem with the added restriction that f'(z) should be continuous in a region R but Goursat showed that for the truth of the theorem the assumption of the continuity of f'(z) is unnecessary and that cauchy's theorem holds if and only if f(z) is analytic in a region R and on its boundary C. Thetheorem is also known as General form of cauchy's theorem.


Cauchy's integral formula in complex analysis:

Let f(z) is analytic inside and on a simple closed curve C of a simple connected region R and a be any point inside C, then f(a)=1/2πic f(z)/(z-a)dz, where C is traversed in the positive sense.

Cauchy's integral formula for first derivative in complex analysis:

Let f(z) is analytic inside and on a simple closed curve C of a simple connected region R and a be any point inside C, then f'(a)=1/2πic f(z)/(z-a)2dz, where C is traversed in the positive sense.

Cauchy's integral formula for n-th derivative in complex analysis:

Let f(z) is analytic inside and on a simple closed curve C of a simple connected region R and a be any point inside C, then fn(a)=n!/2πic f(z)/(z-a)n+1dz, where C is traversed in the positive sense.


Cauchy's Inequality in complex analysis:

f(z) is analytic inside and on a circle C of radius r and center at z=a,then |fn(a)|≤M.n!/rn for n=0, 1, 2, .... Where M is a constant such that |f(z)|<M on C i.e. M is an upper bound of |f(z)| on C.


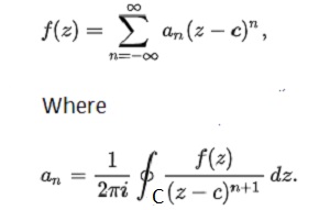
Taylor's Theorem or Taylor's series in complex analysis

Taylor's Theorem or Taylor's series: If f(z) is analytic inside a circle C with center at a, then for all z inside C
f(z)=f(a)+f'(a).(z-a)/1!+f''(a).(z-a)2/2!+f'''(a).(z-a)3/3!+... ... ...+f(n)(a).(z-a)n/n!+... ... to ∞


Zeros of a polynomial or Roots of a polynomial equation and zeros of an analytic function in complex analysis

Zeros of a polynomial or Roots of a polynomial equation: Let us consider a polynomial equation a0zn+a1zn-1+a2zn-2+... ...+an-1z+an=0....(i)
where a0≠ 0,a1, a2, ... ... an are complex numbers and n is a positive integer which is called the degree of the equation. Then the solutions of (i) are called the roots of the polynomial equation or the zeros of the polynomials a0zn+a1zn-1+a2zn-2+... ...+an-1z+an.


Zeros of an analytic function: Let us consider a complex function f(z)that is an analytic function in a domain D and f(z)=0at the point z=c in D. Then f(z) is said to have a zero at the point z=c or c is called the zero of the analytic function f(z).


Ordinary point and Poles in complex analysis

Ordinary point in complex analysis: Let f(z) is a complex function. If z0 is not a singular point and if there exist a δ>0 such that the circle |z-z0|=δ encloses no singular point, then z0 is called an ordinary point of a function f(z).


Poles in complex analysis: Let f(z) is a complex function. If there exist a positive integer n such that limz→z0(z-z0)f(z)=A≠0 (a finite non-zero constant), then f(z) is said to have a pole of order n at z=z0.

Contact email: asaduzzamanmathdcc135@gmail.com